您的位置: 首页» 公告及下载» 通知公告

通知公告

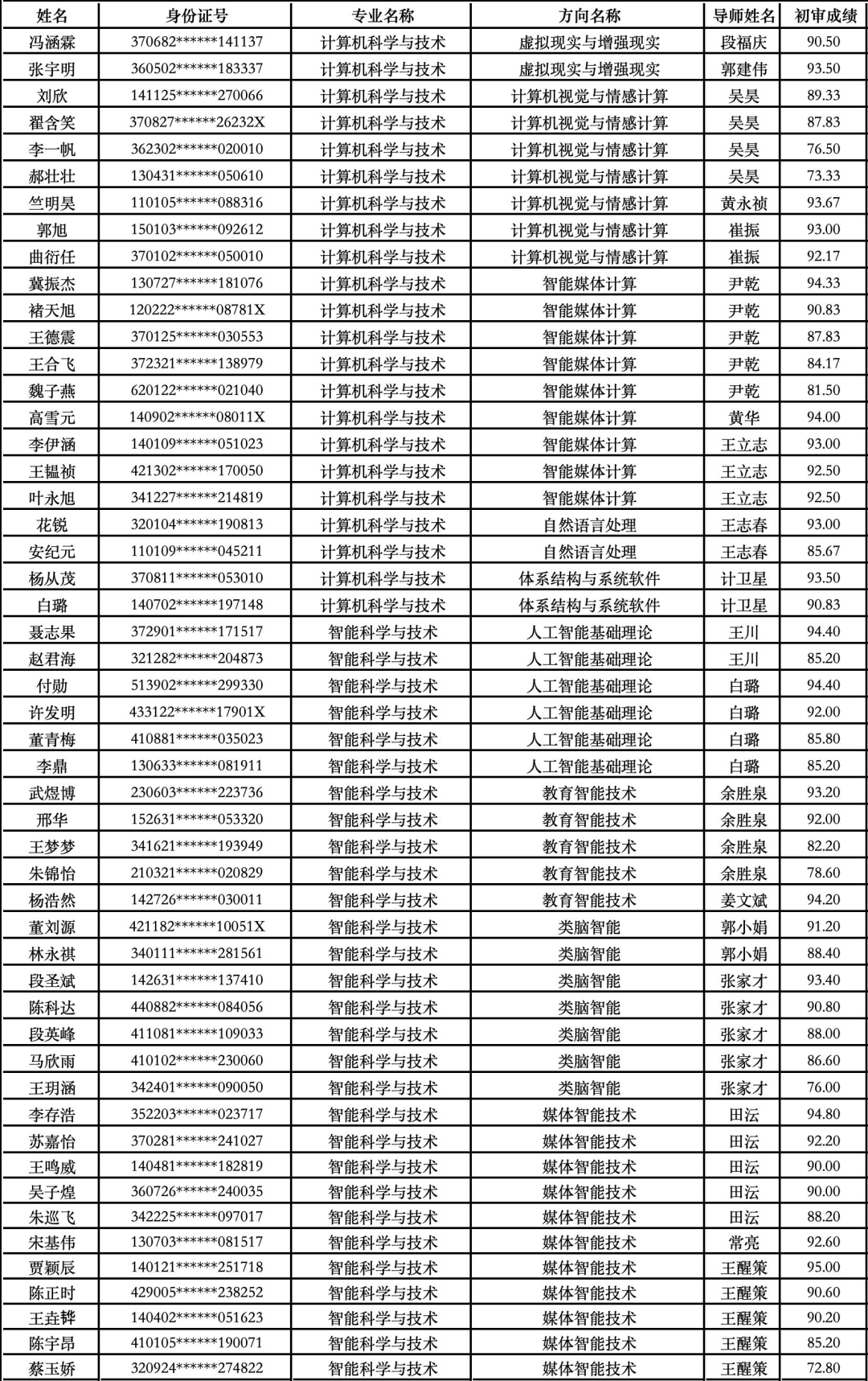
beat365在线唯一官网2026年学术学位博士生招生复试名单

  时间:2025-12-29  浏览:

beat365在线唯一官网2026年学术学位博士生初审合格的考生,学院依据初审成绩分专业按导师排序,择优确定复试名单。博士招生复试考核安排,敬请关注后续通知。

640.png