通知公告
beat365在线唯一官网2026年学术学位博士生招生复试名单
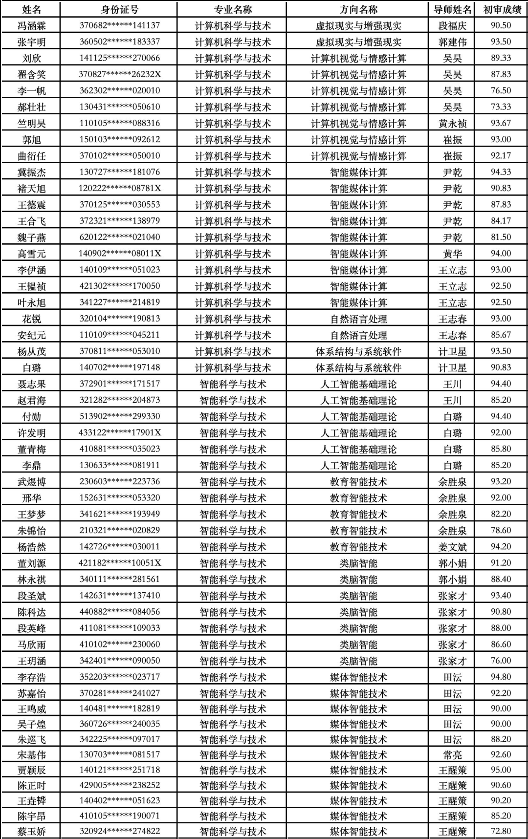
beat365在线唯一官网2026年学术学位博士生初审合格的考生,学院依据初审成绩分专业按导师排序,择优确定复试名单。博士招生复试考核安排,敬请关注后续通知。

联系电话:010-58807943
邮编:100875
地址:北京市海淀区新外大街19号电子楼

京师智能E家

学院官方微信
© 版权所有 beat·365(中国) - 官方网站
beat365在线唯一官网2026年学术学位博士生初审合格的考生,学院依据初审成绩分专业按导师排序,择优确定复试名单。博士招生复试考核安排,敬请关注后续通知。

联系电话:010-58807943
邮编:100875
地址:北京市海淀区新外大街19号电子楼


